已知函数
在
处有极值2.
求
的值;
求函数
在区间
上的最大值.
(1)
;(2)2
求出
,根据极值的定义可得
,解方程组可求出
的值;
利用(1)求出函数的导数,根据导函数的符号,可得
在
上递减,在
上递增,利用函数的单调性可得出函数的最值.
函数
在
处取得极值2,
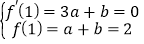
∴
,解得
.
由
得:
,
令
,解得:
,
令
,解得:
或
,
故
在
递减,在
递增,
故
的最大值是
或
,
而
,
故函数
的最大值是2.
版权声明
声明:有的资源均来自网络转载,版权归原作者所有,如有侵犯到您的权益
请联系本站我们将配合处理!
