已知<img alt="1" src="/tk/20210512/1620752241641.png"/>,则<img alt="2
已知
,则
______.

根据二项式定理,
,推导出
,由
,能求出
.
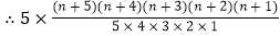
解:
,

,
,
由
,解
.
故答案为:2.
版权声明
声明:有的资源均来自网络转载,版权归原作者所有,如有侵犯到您的权益
请联系本站我们将配合处理!
已知
,则
______.

根据二项式定理,
,推导出
,由
,能求出
.
解:
,

,
,
由
,解
.
故答案为:2.
声明:有的资源均来自网络转载,版权归原作者所有,如有侵犯到您的权益
请联系本站我们将配合处理!