已知集合<img alt="1" src="/tk/20210512/1620761885658.png"/>,<img alt="
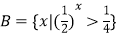
已知集合
,
,则
( )
A.
B.
C.
D. 
D
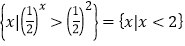
【解析】由
解得集合B,再由交集定义即可得解.
解:
集合
=
,
.
故选:D.
版权声明
声明:有的资源均来自网络转载,版权归原作者所有,如有侵犯到您的权益
请联系本站我们将配合处理!
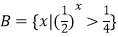
已知集合
,
,则
( )
A.
B.
C.
D. 
D
【解析】由
解得集合B,再由交集定义即可得解.
解:
集合
=
,
.
故选:D.
声明:有的资源均来自网络转载,版权归原作者所有,如有侵犯到您的权益
请联系本站我们将配合处理!