已知角<img alt="1" src="/tk/20210512/1620761459161.png"/>的顶点与坐标原点重合,始边与x轴的非负半
已知角
的顶点与坐标原点重合,始边与x轴的非负半轴重合,
为角
终边上一点,角
的终边与单位圆的交点为
,则
______.

利用任意角的三角函数的定义,诱导公式,求得x、y的值,可得
的值.
角
的顶点与坐标原点重合,始边与x轴的非负半轴重合,
为角
终边上一点,
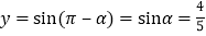
则
,
,
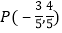
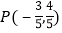
角
的终边与单位圆的交点为
,则
,
,
,
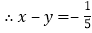
故答案为:
.
版权声明
声明:有的资源均来自网络转载,版权归原作者所有,如有侵犯到您的权益
请联系本站我们将配合处理!
