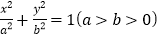
已知O为坐标原点,B与F分别为椭圆<img alt="1" src="/tk/20210511/1620713143444.png"/>的上顶点与右
已知O为坐标原点,B与F分别为椭圆
的上顶点与右焦点,若
,则该椭圆的离心率是_________.

根据椭圆的性质,可推出b=c,转化求解椭圆的离心率即可.
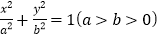
O为坐标原点,B与F分别为椭圆
的上顶点与右焦点,若
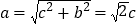
,可得b=c,则
.所以椭圆的离心率为:
.故答案为:
.
版权声明
声明:有的资源均来自网络转载,版权归原作者所有,如有侵犯到您的权益
请联系本站我们将配合处理!
