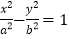
已知双曲线<img alt="1" src="/tk/20210511/1620712928232.png"/> (a>0,b>0)的一条渐近线方程
已知双曲线
(a>0,b>0)的一条渐近线方程是y=2x,它的一个焦点与抛物线y2=20x的焦点相同,则双曲线的方程是______.

分析:利用双曲线的渐近线的方程可得
=2,再利用抛物线的焦点抛物线y2=20x的焦点相同即可得出c,即可求得结论.
详解:由题得
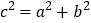
=2,c=5,再由
得
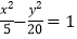
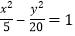
故双曲线的方程是
.
版权声明
声明:有的资源均来自网络转载,版权归原作者所有,如有侵犯到您的权益
请联系本站我们将配合处理!
