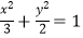
已知椭圆C:
的离心率为
, 直线l:y=x+2与以原点O为圆心,椭圆的短轴长为直径的圆O相切.
(1)求椭圆C的方程;
(2)求椭圆C与直线y=kx(k>0)在第一象限的交点为A.
①设B(
,1),且

=
, 求k的值;
②若A与D关于x的轴对称,求△AOD的面积的最大值.
【答案】解:(1)由题设可知,圆O的方程为x2+y2=b2 ,
因为直线l:x﹣y+2=0与圆O相切,故有
=b,
所以b=
.
因为e=
,所以有a2=3c2=3(a2﹣b2),即a2=3.
所以椭圆C的方程为
.
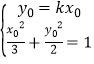
(2)设点A(x0 , y0)(x0>0,y0>0),则y0=kx0 .
由
解得
,
①∵

=
+
=
,∴k=
(k=0舍去).
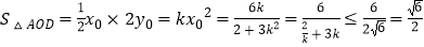
②∵
,
(当且仅当k=
时取等号),
∴S△AOD的最大值为
.
(1)求得圆O的方程,运用直线和相切的条件:d=r,求得b,再由离心率公式和a,b,c的关系,可得a,进而得到椭圆方程;
(2)设出A的坐标,代入椭圆方程,求得交点A的坐标,
①运用向量的数量积的坐标表示,计算即可得到所求值;
②由三角形的面积公式,结合基本不等式即可得到所求最大值.
版权声明
声明:有的资源均来自网络转载,版权归原作者所有,如有侵犯到您的权益
请联系本站我们将配合处理!
下一篇 :返回列表
