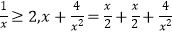
已知:x∈(0,+∞),观察下列式子:x+<img alt="1" src="/tk/20210512/1620751869617.png"/>≥3
已知:x∈(0,+∞),观察下列式子:x+
≥3…类比有x+
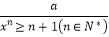
, 则a的值为______
n2
【解析】由已知中:x∈(0,+∞)时,
x+
≥3,
…
归纳推理得:x+
,
故a=n2 ,
所以答案是:n2
【考点精析】掌握归纳推理是解答本题的根本,需要知道根据一类事物的部分对象具有某种性质,退出这类事物的所有对象都具有这种性质的推理,叫做归纳推理.
版权声明
声明:有的资源均来自网络转载,版权归原作者所有,如有侵犯到您的权益
请联系本站我们将配合处理!
