与直线<img alt="1" src="/tk/20210512/1620761360005.png"/>和曲线<img alt="
与直线
和曲线
都相切的半径最小的圆的标准方程是_____________.


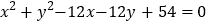
曲线化为
,半径为
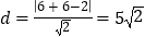
,其圆心到直线
的距离为
,所求的最小圆的圆心在直线
上,圆心到原点的距离为
,圆心坐标为
,最小圆的直径为
,半径为
,标准方程为
,故答案为
.
【方法点晴】本题主要考查圆的方程以及直线与圆的位置关系,属于难题.解决解析几何中的最值问题一般有两种方法:一是几何意义,特别是用曲线的定义和平面几何的有关结论来解决,非常巧妙;二是将解析几何中最值问题转化为函数问题,然后根据函数的特征选用参数法、配方法、判别式法、三角函数有界法、函数单调性法以及均值不等式法.
版权声明
声明:有的资源均来自网络转载,版权归原作者所有,如有侵犯到您的权益
请联系本站我们将配合处理!
