已知x,y∈(0,+∞),且log2x+log2y=2,则<img alt="1" src="/tk/20210512/1620761813477.png"
已知x,y∈(0,+∞),且log2x+log2y=2,则
+
的最小值是( )
A. 4 B. 3 C. 2 D. 1
【答案】D
【解析】分析:由对数的运算性质可求出xy的值,再由基本不等式计算即可得答案.
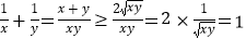
详解:由题意
,
得
,
则
,
(当且仅当
时,取等号).
故选:D.
版权声明
声明:有的资源均来自网络转载,版权归原作者所有,如有侵犯到您的权益
请联系本站我们将配合处理!
