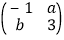
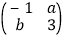
已知直线l:2x﹣y=3,若矩阵A=<img alt="1" src="/tk/20210512/1620751046050.png"/>a,b∈R
已知直线l:2x﹣y=3,若矩阵A=
a,b∈R所对应的变换σ把直线l变换为它自身.
(Ⅰ)求矩阵A;
(Ⅱ)求矩阵A的逆矩阵.
【答案】解:(Ⅰ)设P(x,y)为直线2x﹣y=3上任意一点,
其在A的作用下变为(x′,y′),
则
=
=
,∴
,
代入2x′﹣y′=3得:﹣(b+2)x+(2a﹣3)y=3,
∵其与2x﹣y=3完全一样,∴
,即
,
∴矩阵A=
;
(Ⅱ)∵
=1,∴矩阵M的逆矩阵为A﹣1=
.
(Ⅰ)通过设直线2x﹣y=3上任意一点P(x,y),利用其在A的作用下变为(x′,y′),可用x、y表示出x′、y′,代入2x′﹣y′=3,计算即可;
(Ⅱ)直接计算即可.
版权声明
声明:有的资源均来自网络转载,版权归原作者所有,如有侵犯到您的权益
请联系本站我们将配合处理!
