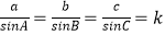
在ABC中,内角A,B,C的对边分别为a,b,c,已知<img alt="1" src="/tk/20210512/1620750879223.png"/
在ABC中,内角A,B,C的对边分别为a,b,c,已知
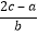
(Ⅰ)求
的值;
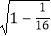
(Ⅱ)若cosB=
, b=2,求△ABC的面积S.
解:(Ⅰ)由正弦定理设
则
=
=
=
整理求得sin(A+B)=2sin(B+C)
又A+B+C=π
∴sinC=2sinA,即
=2
(Ⅱ)由余弦定理可知cosB=
=
①
由(Ⅰ)可知
=
=2②
再由b=2,①②联立求得c=2,a=1
sinB=
=
∴S=
acsinB=
(Ⅰ)利用正弦定理把题设等式中的边转化成角的正弦,整理后可求得sinC和sinA的关系式,则
的值可得.
(Ⅱ)先通过余弦定理可求得a和c的关系式,同时利用(Ⅰ)中的结论和正弦定理求得a和c的另一关系式,最后联立求得a和c,利用三角形面积公式即可求得答案.
版权声明
声明:有的资源均来自网络转载,版权归原作者所有,如有侵犯到您的权益
请联系本站我们将配合处理!
