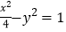
在平面直角坐标系<img alt="1" src="/tk/20210512/1620752262040.png"/>中,双曲线<img al
在平面直角坐标系
中,双曲线
的顶点到它的渐近线的距离为___.

根据点到直线的距离公式进行求解即可.
解:双曲线
y2=1的一个顶点为A(2,0),
双曲线的一条渐近线为y
x,即x﹣2y=0,
则点到直线的距离公式d
,
故答案为:
.
版权声明
声明:有的资源均来自网络转载,版权归原作者所有,如有侵犯到您的权益
请联系本站我们将配合处理!
