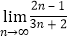
计算:<img alt="1" src="/tk/20210511/1620713133609.png"/>______
计算:
______

分子分母同时除以n,计算可得极限.
=
=
故答案为:
.
版权声明
声明:有的资源均来自网络转载,版权归原作者所有,如有侵犯到您的权益
请联系本站我们将配合处理!
计算:
______

分子分母同时除以n,计算可得极限.
=
=
故答案为:
.
声明:有的资源均来自网络转载,版权归原作者所有,如有侵犯到您的权益
请联系本站我们将配合处理!