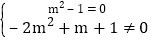
若关于x、y的二元一次方程组<img alt="1" src="/tk/20210511/1620742039794.png"/>至少有一组解,则实
若关于x、y的二元一次方程组
至少有一组解,则实数m的取值范围是______.

先将方程组
化为二元一次方程组
,根据题意求出直线
与直线
平行时
的值,即可得出满足题意的m的取值范围。
关于x,y的二元一次方程组
,即二元一次方程组
,
若直线
与直线
平行,
则
,解得
.
若关于x、y的二元一次方程组
至少有一组解,
则
,即
.
故答案为:
.
版权声明
声明:有的资源均来自网络转载,版权归原作者所有,如有侵犯到您的权益
请联系本站我们将配合处理!
