某厂家生产甲、乙、丙三种样式的杯子,每种杯子均有300ml和500ml两种型号,某月的产量(单位:个)如下表所示:
某厂家生产甲、乙、丙三种样式的杯子,每种杯子均有300ml和500ml两种型号,某月的产量(单位:个)如下表所示:
型号 | 甲样式 | 乙样式 | 丙样式 |
300ml | z | 2500 | 3000 |
500ml | 3000 | 4500 | 5000 |
按样式用分层抽样的方法在这个月生产的杯子中随机的抽取100个,其中有乙样式的杯子35个.(Ⅰ)求z的值;(Ⅱ)用分层抽样的方法在甲样式的杯子中抽取一个容量为5的样本,从这个样本中任取2个杯子,求至少有1个300ml的杯子的概率.
【答案】解:(Ⅰ)设在丙样式的杯子中抽取了x个,
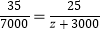
由题意
,∴x=40.
∴在甲样式的杯子中抽取了100﹣40﹣35=25个,
∴
,解得z=2000.
(Ⅱ)设所抽样本中有m个300ml的杯子,
∴△=4k2b2﹣4(k2+3)(b2﹣6)=12(k2﹣b2+6)>0,
∴m=2.
也就是抽取的5个样本中有2个300ml的杯子,分别记作A1 , A2;3个500ml的杯子,分别记作B1 , B2 , B3 .
则从中任取2个300ml的杯子的所有基本事件为(A1 , B1),(A1 , B2),(A1 , B3),(A2 , B1),(A2 , B2),(A2 , B3),(A1 , A2),(B1 , B2),(B1 , B3),(B2 , B3),共10个.
其中至少有1个300ml的杯子的基本事件有(A1 , B1),(A1 , B2),(A1 , B3),(A2 , B1),(A2 , B2),(A2 , B3),(A1 , A2),共7个
∴至少有1个300ml的杯子的概率为
.
(Ⅰ)设在丙样式的杯子中抽取了x个,利用抽样比直接求解即可.
(Ⅱ)设所抽样本中有m个300ml的杯子,求出从中任取2个300ml的杯子的所有基本事件个数,求出至少有1个300ml的杯子的基本事件个数,然后求解概率.
【考点精析】本题主要考查了分层抽样的相关知识点,需要掌握先将总体中的所有单位按照某种特征或标志(性别、年龄等)划分成若干类型或层次,然后再在各个类型或层次中采用简单随机抽样或系用抽样的办法抽取一个子样本,最后,将这些子样本合起来构成总体的样本才能正确解答此题.
版权声明
声明:有的资源均来自网络转载,版权归原作者所有,如有侵犯到您的权益
请联系本站我们将配合处理!
