若变量x,y满足约束条件 , 目标函数z=2x+y的最大值为7,则目标函数取最小值时的最优解为______ ,实数m的值为______
若变量x,y满足约束条件
, 目标函数z=2x+y的最大值为7,则目标函数取最小值时的最优解为______ ,实数m的值为______
(1,﹣1);4
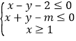
【解析】作出不等式组对应的平面区域如图:(阴影部分).
由z=2x+y得y=﹣2x+z,
平移直线y=﹣2x+z,
由图象可知当直线y=﹣2x+z经过点C时,直线y=﹣2x+z的截距最大,
此时z最大为2x+y=7.
由
, 即C(3,1),
同时C也在x+y﹣m=0上,
解得m=x+y=3+1=4.
由当直线经过点B时,直线y=﹣2x+z的截距最小,
由
, 即B(1,﹣1),
所以答案是:(1,﹣1);4

版权声明
声明:有的资源均来自网络转载,版权归原作者所有,如有侵犯到您的权益
请联系本站我们将配合处理!
下一篇 :返回列表
