若实数a,b满足ab>0,则<img alt="1" src="/tk/20210511/1620742339319.png"/>的最小值为
若实数a,b满足ab>0,则
的最小值为
A. 8 B. 6 C. 4 D. 2
【答案】C
【解析】直接利用关系式的恒等变换和基本不等式求出结果.
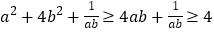
实数a,b满足ab>0, 则
, 当且仅当
时等号成立. 故选:C.
版权声明
声明:有的资源均来自网络转载,版权归原作者所有,如有侵犯到您的权益
请联系本站我们将配合处理!
若实数a,b满足ab>0,则
的最小值为
A. 8 B. 6 C. 4 D. 2
【答案】C
【解析】直接利用关系式的恒等变换和基本不等式求出结果.
实数a,b满足ab>0, 则
, 当且仅当
时等号成立. 故选:C.
声明:有的资源均来自网络转载,版权归原作者所有,如有侵犯到您的权益
请联系本站我们将配合处理!