已知等差数列<img alt="1" src="/tk/20210511/1620741980016.png"/>,若点<img alt=&q
已知等差数列
,若点
在经过点
的定直线
上,则数列
的前7项和
______.
56
【解析】由点
在经过点
的定直线
上,推导出
,根据等差数列的性质与求和公式可得结果.
因为等差数列
中,点
在经过点
的定直线
上,
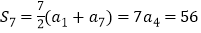
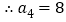
,
数列
的前7项和
,
故答案为56.
版权声明
声明:有的资源均来自网络转载,版权归原作者所有,如有侵犯到您的权益
请联系本站我们将配合处理!
