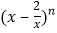
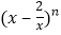
在<img alt="1" src="/tk/20210511/1620742452449.png"/>的展开式中,若二项式系数的和为32,则x的系
在
的展开式中,若二项式系数的和为32,则x的系数为( )
A. ﹣40 B. ﹣10 C. 10 D. 40
【答案】D
【解析】在二项展开式的通项公式中,令
的幂指数等于1,求出
的值,即可求得
的系数.
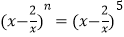
根据
的展开式中,二项式系数的和为
.
而
的展开式中,通项公式为
令
,求得
,可得展开式中
的系数为
故选:D.
版权声明
声明:有的资源均来自网络转载,版权归原作者所有,如有侵犯到您的权益
请联系本站我们将配合处理!
