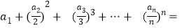
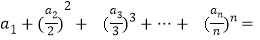
已知数列<img alt="1" src="/tk/20210511/1620712847298.png"/>与<img alt="
已知数列
与
均为等差数列(
),且
,则
____.
.
分析:先设
,再通过分析
为等差数列得到d=2,最后求出
找到答案.
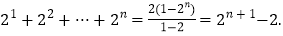
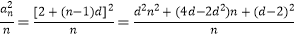
详解:设
,
所以
,
由于
为等差数列,
所以其通项是一个关于n的一次函数,
所以
所以
所以

故答案为
.
版权声明
声明:有的资源均来自网络转载,版权归原作者所有,如有侵犯到您的权益
请联系本站我们将配合处理!
