如图所示,在平面坐标系xOy中,x≤0区域有垂直于y轴的匀强电场E=0.4N/C,x>0有三个区域I、II、III,区域边界垂直于x轴,区域I的宽度L1=0.05m,区域II的宽度L2=0.1m,区域
如图所示,在平面坐标系xOy中,x≤0区域有垂直于y轴的匀强电场E=0.4N/C,x>0有三个区域I、II、III,区域边界垂直于x轴,区域I的宽度L1=0.05m,区域II的宽度L2=0.1m,区域III的宽度L3未知,三个区域都有匀强磁场,磁感应强度大小相等都为B=0.02T,I、III中磁场方向垂直于坐标平面向外,II中磁场方向垂直于坐标平面向里;P点在y轴上,纵坐标yP=0.15m,A点与P点纵坐标相等,与P点的距离d=1.0m.一正点电荷从A点由静止开始运动经过P点进入区域I,并从区域II、III之间边界上的C点(图中未标出)进入区域III.点电荷质量m=2×10-9kg,电荷量q=4×10-4C,不计重力.

(1)求点电荷经过P点时速度的大小vP;
(2)求C点的纵坐标yC;
(3)若要求点电荷不从区域III的右边界离开,并回到y轴,求区域III宽度L3的最小值及正电荷从P点到第一次回到y轴经过的时间t.
【答案】(1)4×102m/s(2)0.137m(3)
s
(1)电荷在电场中做匀加速直线运动,则
解得vP=4×102m/s

(2)电荷在x>0的三个区域磁场中分别都做匀速圆周运动,其轨迹如图所示,圆心分别是O1、O2、O3,半径相同,设为r,设轨迹与区域I、II的边界交点D的连线与y轴正方向的夹角为θ,C点与点D纵坐标相等,则
,
,
解得r=0.1m,θ=30°,yC=0.137m
(3)设区域III宽度L3的最小值为L3m,则
,L3m=0.15m
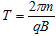
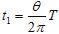
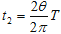
电荷在三个区域磁场中做匀速圆周运动的周期相同,设为T,设从P到C运动过程中,在区域I中运动时间为t1,在区域II中运动时间为t2,在区域III中运动时间为t3,则
,
,
,
,
解得
s,
s,
s,
s,
s
版权声明
声明:有的资源均来自网络转载,版权归原作者所有,如有侵犯到您的权益
请联系本站我们将配合处理!
