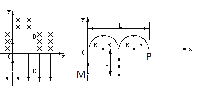
如图所示,在x轴上方有垂直纸面向里的匀强磁场,磁感应强度为B,在x轴下方有沿y轴负向的匀强电场,电场强度为E。现在y负半轴上M点(未画出)有一质量为m带电量绝对值为q的粒子,由静止释放,经过一段时间的
如图所示,在x轴上方有垂直纸面向里的匀强磁场,磁感应强度为B,在x轴下方有沿y轴负向的匀强电场,电场强度为E。现在y负半轴上M点(未画出)有一质量为m带电量绝对值为q的粒子,由静止释放,经过一段时间的运动后在第四次经过x轴时的位置P点(未画出)到O点的距离为L,不计粒子的重力,求:

(1)该粒子带何种电荷?
(2)M点到O点的距离?
(3)从M点到P点经历的时间?
【答案】(1)负电荷;(2)
;(3)
(1)带电粒子向上运动,电场向下,故粒子带负电;
(2)粒子在电场中沿y轴向上做匀加速运动,到达O点后进入磁场,在匀强磁场中,靠洛伦兹力提供向心力,做匀速圆周运动(半周).粒子在电场中,受电场力,做往复运动,匀减速到零后匀加速返回,然后在磁场中在做半个圆周运动,第四次经过x轴,此时它与点O的距离为L,则L=4R

设粒子初速度为v,
可得
设M点到O点距离为x,粒子在电场中加速度为a,
v2=2ax
qE=ma
解得:
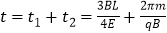
(3)粒子在电场中加速或减速的总时间:
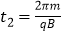
粒子在磁场中运动的总时间为:
则从M点到P点经历的时间:
版权声明
声明:有的资源均来自网络转载,版权归原作者所有,如有侵犯到您的权益
请联系本站我们将配合处理!
