物块A放在台秤上,通过跨过定滑轮的轻绳与物块B相连,B下端与一轻质弹簧粘连,弹簧的下端与地面接触(未栓接),整个系统处于静止状态,此时台秤示数为8.8N.已知mA=2mB=1kg,物块A、B间的水平距
物块A放在台秤上,通过跨过定滑轮的轻绳与物块B相连,B下端与一轻质弹簧粘连,弹簧的下端与地面接触(未栓接),整个系统处于静止状态,此时台秤示数为8.8N.已知mA=2mB=1kg,物块A、B间的水平距离s=20cm,倾斜绳与水平方向夹角θ0=37°,物块A与台秤间动摩擦因素μ=0.5,设最大静摩擦力等于滑动摩擦力.A、B和滑轮视为质点,不计滑轮质量和滑轮处摩擦,弹簧一直在弹性限度内,g取10m/s2 .
(你可能用到的数学知识:sin37°=0.6,cos37°=0.8,cos2θ+sin2θ=1)

(1)求物块A受到的摩擦力和绳对物块A的拉力;
(2)沿竖直方向调整滑轮的高度至某一位置时,物块A刚好开始运动,且
此时弹簧刚好离开地面,求滑轮移动的距离和弹簧的劲度系数.
【答案】(1)
解:由台秤示数知物块此时所受支持力N=8.8N,物块受力示意图如下:

根据平衡条件,水平方向:
,
竖直方向:
,
解得:
, 
(2)
解:分析知,此时弹簧恢复原长,弹力为0.
对B受力分析,有:T1﹣mBg=0
所以:T1=5N;
设此时细线与水平方向夹角为θ,对A,水平方向:
,
竖直方向:
,
其中:
,
得:sinθ+2cosθ=2
结合 cos2θ+sin2θ=1得:cosθ=0.6,sinθ=0.8;
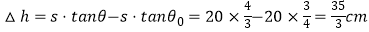
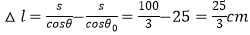
滑轮上升的高度
,
分析知,右端绳所短
,
由几何关系知,弹簧伸长量△x=△h+△l=20cm;
由(1),对B受力分析,有T0+F0=mBg,
初始时刻弹簧处于压缩状态,弹力F0=3N,
末状态弹簧恢复原长,弹力为0,
所以 
(1)对物体A受力分析,受重力、拉力、支持力和摩擦力,根据平衡条件列式求解;(2)弹簧刚好离开地面,则物体B受重力和拉力而平衡,根据平衡条件得到拉力大小;此时物体A刚好开始运动,受拉力、重力、支持力和最大静摩擦力,根据平衡条件列式求解得到对应的角度;然后结合几何关系得到滑轮移动的距离,根据胡克定律得到弹簧的劲度系数.
版权声明
声明:有的资源均来自网络转载,版权归原作者所有,如有侵犯到您的权益
请联系本站我们将配合处理!
