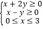
已知变量x,y满足约束条件<img alt="1" src="/tk/20210512/1620752325322.png"/>则z=x+y的最大值
已知变量x,y满足约束条件
则z=x+y的最大值为( )
A.3
B.4
C.5
D.6
【答案】D
【解析】做出线性约束条件下的可行域,观察图形可知可行域是由点
围成的三角形及内部,当
过点
时取得最大值6
版权声明
声明:有的资源均来自网络转载,版权归原作者所有,如有侵犯到您的权益
请联系本站我们将配合处理!
已知变量x,y满足约束条件
则z=x+y的最大值为( )
A.3
B.4
C.5
D.6
【答案】D
【解析】做出线性约束条件下的可行域,观察图形可知可行域是由点
围成的三角形及内部,当
过点
时取得最大值6
声明:有的资源均来自网络转载,版权归原作者所有,如有侵犯到您的权益
请联系本站我们将配合处理!