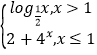
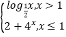
已知函数f(x)=
, 则f(f(
))的值是=______
-2
【解析】解:∵函数
,
∴f(
)=2+
=4.

所以答案是:﹣2.
【考点精析】认真审题,首先需要了解函数的值(函数值的求法:①配方法(二次或四次);②“判别式法”;③反函数法;④换元法;⑤不等式法;⑥函数的单调性法),还要掌握对数的运算性质(①加法:
②减法:
③数乘:
④
⑤
)的相关知识才是答题的关键.
版权声明
声明:有的资源均来自网络转载,版权归原作者所有,如有侵犯到您的权益
请联系本站我们将配合处理!
