已知<img alt="1" src="/tk/20210511/1620712772104.png"/>的三内角<img alt="
已知
的三内角
所对的边长分别为
,若
,则内角
的大小是__________.

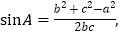
由已知
,可得
由余弦定理可得
故答案为
.
版权声明
声明:有的资源均来自网络转载,版权归原作者所有,如有侵犯到您的权益
请联系本站我们将配合处理!
已知
的三内角
所对的边长分别为
,若
,则内角
的大小是__________.

由已知
,可得
由余弦定理可得
故答案为
.
声明:有的资源均来自网络转载,版权归原作者所有,如有侵犯到您的权益
请联系本站我们将配合处理!