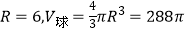
已知
是球
的球面上两点,
,
为该球面上的动点,若三棱锥
体积的最大值为
,则球
的体积为( )
A.
B.
C.
D.
D
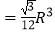
【解析】由题意可知 


=
, 
所以答案是:D.
【考点精析】认真审题,首先需要了解球内接多面体(球的内接正方体的对角线等于球直径;长方体的外接球的直径是长方体的体对角线长).
版权声明
声明:有的资源均来自网络转载,版权归原作者所有,如有侵犯到您的权益
请联系本站我们将配合处理!
下一篇 :返回列表
