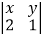
直线
=3的一个方向向量可以是______
(﹣2,﹣1)
【解析】∵直线
=3,
∴x﹣2y﹣3=0.
∴直线
=3的一个方向向量可以是(﹣2,﹣1).
所以答案是:(﹣2,﹣1).
版权声明
声明:有的资源均来自网络转载,版权归原作者所有,如有侵犯到您的权益
请联系本站我们将配合处理!
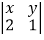
直线
=3的一个方向向量可以是______
(﹣2,﹣1)
【解析】∵直线
=3,
∴x﹣2y﹣3=0.
∴直线
=3的一个方向向量可以是(﹣2,﹣1).
所以答案是:(﹣2,﹣1).
声明:有的资源均来自网络转载,版权归原作者所有,如有侵犯到您的权益
请联系本站我们将配合处理!