已知椭圆
(
)的左、右焦点分别为
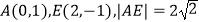
、
,设点
,在
中,
,周长为
.

(1)求椭圆
的方程;
(2)设不经过点
的直线
与椭圆
相交于
、
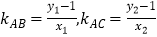
两点,若直线
与
的斜率之和为
,求证:直线
过定点,并求出该定点的坐标;
(3)记第(2)问所求的定点为
,点
为椭圆
上的一个动点,试根据
面积
的不同取值范围,讨论
存在的个数,并说明理由.
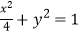
(1)解:由
得:
,所以
………①
又
周长为
,所以
………②
解①②方程组,得 
所以椭圆方程为 
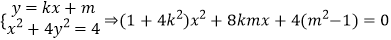
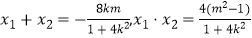
(2)解:设直线
方程:
,交点 



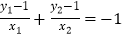
依题:
即: 



过定点 
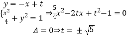
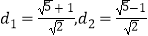
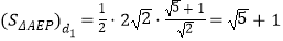
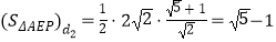
(3)解:
, 
设直线
与椭圆
相切,

得两切线到
的距离分别为 


当
时,
个数为0个
当
时,
个数为1个
当
时,
个数为2个
当
时,
个数为3个
当
时,
个数为4个
本题考查椭圆的方程、椭圆的简单性质,考查直线与椭圆的位置关系,考查了存在性问题的解法,以及学生分析解决问题的能力,体现了分类讨论的数学思想方法.所谓存在性问题是指根据题目所给的条件,探究是否存在符合要求的结论.
版权声明
声明:有的资源均来自网络转载,版权归原作者所有,如有侵犯到您的权益
请联系本站我们将配合处理!
下一篇 :返回列表
