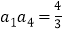
若等比数列的各项均为正数,前4项的和为4,积为<img alt="1" src="/tk/20210511/1620713027547.png"/>
若等比数列的各项均为正数,前4项的和为4,积为
,则前4项倒数之和为_________.

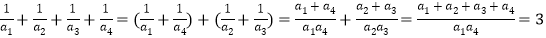
依题知
,
,所以
,则
.
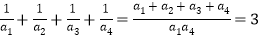
依题知
,
,所以
所以
即答案为3.
版权声明
声明:有的资源均来自网络转载,版权归原作者所有,如有侵犯到您的权益
请联系本站我们将配合处理!
若等比数列的各项均为正数,前4项的和为4,积为
,则前4项倒数之和为_________.

依题知
,
,所以
,则
.
依题知
,
,所以
所以
即答案为3.
声明:有的资源均来自网络转载,版权归原作者所有,如有侵犯到您的权益
请联系本站我们将配合处理!