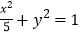
已知中心是坐标原点的椭圆<img alt="1" src="/tk/20210511/1620712838929.png"/>过点<img a
已知中心是坐标原点的椭圆
过点
,且它的一个焦点为
,则
的标准方程为________.

分析:由题意利用待定系数法求得a,b的值即可求得椭圆的标准方程.
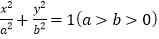
详解:椭圆的焦点位于
轴,则设椭圆的方程为
,
椭圆
过点
,则:
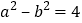
,①
它的一个焦点为
,则
,②
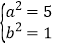
①②联立可得:
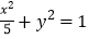
,则
的标准方程为
.
版权声明
声明:有的资源均来自网络转载,版权归原作者所有,如有侵犯到您的权益
请联系本站我们将配合处理!
