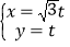
直线<img alt="1" src="/tk/20210511/1620741928609.png"/>(<img alt="2&
直线
(
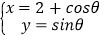
为参数)与曲线
(
为参数)的公共点个数为______

化简参数方程为直角坐标方程,然后判断曲线交点个数.
解:直线
(t为参数)的直角坐标方程为:y
x;
与曲线
(θ为参数)的直角坐标方程:(x﹣2)2+y2=1.
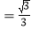
圆的圆心(2,0)到直线y
x的距离为:
1;
所以直线与圆相切,有1个交点.
故答案为:1.
版权声明
声明:有的资源均来自网络转载,版权归原作者所有,如有侵犯到您的权益
请联系本站我们将配合处理!
