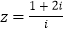
若复数<img alt="1" src="/tk/20210511/1620742348729.png"/>满足<img alt="
若复数
满足
,则
的共轭复数的虚部为( )
A.
B.
C.
D. 
C
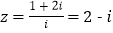
【解析】由已知条件得
,利用复数的除法运算化简,求出
,则共轭复数
的虚部可求.

,

,共轭复数

的共轭复数的虚部1
故选C.
版权声明
声明:有的资源均来自网络转载,版权归原作者所有,如有侵犯到您的权益
请联系本站我们将配合处理!
若复数
满足
,则
的共轭复数的虚部为( )
A.
B.
C.
D. 
C
【解析】由已知条件得
,利用复数的除法运算化简,求出
,则共轭复数
的虚部可求.

,

,共轭复数

的共轭复数的虚部1
故选C.
声明:有的资源均来自网络转载,版权归原作者所有,如有侵犯到您的权益
请联系本站我们将配合处理!