若<img alt="1" src="/tk/20210511/1620712838414.png"/>满足约束条件<img alt=&quo
若
满足约束条件
则
的最大值为___________.

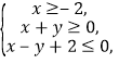
分析:画出约束条件作出可行域,化目标函数为直线方程的斜截式,数形结合得到最优解,把最优解的坐标代入目标函数得答案.
详解:由x,y满足约束条件
作出可行域如图,
化目标函数z=x﹣2y为y=
x﹣
,
由图可知,当直线y=
x﹣
过点A(﹣1,1)时,直线在y轴上的截距最小,z有最大值为﹣3.
故答案为:﹣3

版权声明
声明:有的资源均来自网络转载,版权归原作者所有,如有侵犯到您的权益
请联系本站我们将配合处理!
