如图,在三棱柱
中,
,
,
平面ABC.
若
,求直线
与平面
所成的角的大小;
在
的条件下,求二面角
的大小;
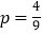
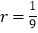
若
,
平面
,G为垂足,令
其中p、q、
,求p、q、r的值.

(1)
;(2)
;(3)
,
,
.
建立如图所示的空间直角坐标系,设平面
的法向量为
y,
,则
,即可得出
,利用
即可得出.
在
的条件下,平面
的法向量为
0,
,取平面ABC的法向量
0,
,可得
,即可得出二面角
的平面角.
作
,M为垂足
由
平面
可得
,
平面
平面
平面
.
作
,垂足为G,则
平面
利用三角形面积计算公式、勾股定理及其
其中p、q、
,即可得出.
解:
建立如图所示的空间直角坐标系,

0,
,
0,
,
,
0,
,
,
0,
,
1,
,
设平面
的法向量为
y,
,则
,
,
取
,则
0,
,
.
直线
与平面
所成的角为
.
在
的条件下,平面
的法向量为
0,
,
取平面ABC的法向量
0,
,
则
,
由图可知:二面角
的平面角为钝角,
二面角
的平面角为
.
作
,M为垂足.
由
平面
,
又
,
平面
.
平面
平面
.
作
,垂足为G,则
平面
.
在
,
,
.
.
.
,
可得
0,
,
其中p、q、
,
0,
,0,
,
,
,
.
版权声明
声明:有的资源均来自网络转载,版权归原作者所有,如有侵犯到您的权益
请联系本站我们将配合处理!
上一篇 : 如图,在长方体中,,,点E是线段AB的中点.
下一篇 :返回列表
