一只口袋中装有形状、大小都相同的10个小球,其中有红球2个,黑球3个,白球5个.
从中1次随机摸出2个球,求2个球颜色相同的概率;
从中1次随机摸出3个球,记白球的个数为X,求随机变量X的概率分布和数学期望
;
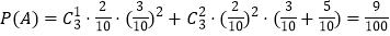
每次从袋中随机摸出1个球,记下颜色后放回,连续取3次,求取到红球的次数大于取到白球的次数的概率.
(1)
;(2)详见解析;(3)
.
利用互斥事件的概率求和公式计算即可;
由题意知X的可能取值,计算所求的概率值,写出X的概率分布,求出数学期望值;
由题意知事件包含一红两黑和两红一黑,两红一白,求出对应的概率值.
解:
从袋中1次随机摸出2个球,则2个球颜色相同的概率为
;
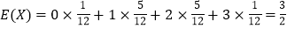
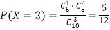
从袋中1次随机摸出3个球,记白球的个数为X,则X的可能取值是0,1,2,3;
则
,
,
,
,
随机变量X的概率分布为;
X
0
1
2
3
P




数学期望
;
记3次摸球后,取到红球的次数大于取到白球的次数为事件A,则
.
版权声明
声明:有的资源均来自网络转载,版权归原作者所有,如有侵犯到您的权益
请联系本站我们将配合处理!
