下列各式是完全平方式的是( )
A.
B.
C.
D. 
A
【解析】完全平方式有三项:两个平方项,且平方项的符号相同,另一项是加上(或减去)它们底数积的
倍,其形式为a2±2ab+b2=(a+b)2.
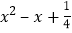
A.
=(x-
)2,是完全平方式;
B.
的中间项应为
,故不是完全平方式;
C.
没有两个平方项,故不是完全平方式;
D.
的平方项的符号不相同,故不是完全平方式;
故选A.
版权声明
声明:有的资源均来自网络转载,版权归原作者所有,如有侵犯到您的权益
请联系本站我们将配合处理!
