用同种材料制成倾角30°的斜面和长水平面,斜面长2.4m且固定,一小物块从斜面顶端以沿斜面向下的初速度v0开始自由下滑,当v0=2m/s时,经过0.8s后小物块停在斜面上某处。多次改变v0的大小,记录
用同种材料制成倾角30°的斜面和长水平面,斜面长2.4m且固定,一小物块从斜面顶端以沿斜面向下的初速度v0开始自由下滑,当v0=2m/s时,经过0.8s后小物块停在斜面上某处。多次改变v0的大小,记录下小物块从开始运动到最终停下的时间t,作出t-v0图象,如图所示,求:

(1)小物块在斜面上下滑的加速度为大小?
(2)小物块与该种材料间的动摩擦因数为多少?
(3)若小物块初速度为4m/s,则小物块到达斜面底端速度多大,小物块从开始运动到最终停下的时间为多少。
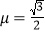
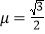
【答案】(1)a=2.5m/s2 (2)
(3)t=1.03s
(1)小物块在斜面上下滑做匀减速直线运动,根据速度时间公式求出加速度的大小.(2)根据牛顿第二定律,求出小物块与该种材料间的动摩擦因数.(3)根据匀变速直线运动的速度位移公式和速度时间公式求出木块到达底端的速度和时间,再根据牛顿第二定律求出木块在水平面上运动的加速度,通过速度时间公式求出在水平面上运动的时间,从而得出小物块从开始运动到最终停下的时间.
(1)从图象有:
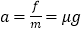
(2)根据牛顿第二定律有
,得
(3)
时,小物块在斜面仍保持匀减速下滑.研究小物块在斜面上运动过程,设小物块刚进入水平面时速度
,则有
,
,
代入数据联解得:
,
,物块在水平面上的加速度
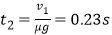
水平面上
总时间
.
版权声明
声明:有的资源均来自网络转载,版权归原作者所有,如有侵犯到您的权益
请联系本站我们将配合处理!
