已知等差数列{an}中,a1=12,公差为d,a3>0,当且仅当n=3时|an|最小.
(Ⅰ)求公差d的取值范围;
(Ⅱ)若d∈Z(Z为整数集),求数列{|an|}的前n项和Sn的表达式.
【答案】解:(Ⅰ)∵a3>0,当且仅当n=3时,|an|取到最小值,
∴a3>0,且a4+a3<0,
∵a1=12,
∴12+2d>0,12+3d+12+2d<0,
解得﹣6<d<﹣
;
(Ⅱ)由(Ⅰ)知,d=﹣5,∴an=﹣5n+17,∴Tn=
,
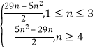
∴1≤n≤3时,Sn=
,
n≥4时,Sn=﹣Tn+2T3=
+42,
∴Sn=
.
(Ⅰ)根据已知条件,可得a3>0,且a4+a3<0,利用等差数列的通项公式列出不等式组,求出d的范围.
(Ⅱ)由(Ⅰ)知,d=﹣5,可得an=﹣5n+17,Tn=
, 分类讨论,即可求数列{|an|}的前n项和Sn的表达式.
【考点精析】根据题目的已知条件,利用等差数列的性质的相关知识可以得到问题的答案,需要掌握在等差数列{an}中,从第2项起,每一项是它相邻二项的等差中项;相隔等距离的项组成的数列是等差数列.
版权声明
声明:有的资源均来自网络转载,版权归原作者所有,如有侵犯到您的权益
请联系本站我们将配合处理!
