已知<img alt="1" src="/tk/20210511/1620742746187.png"/>为虚数单位,复数<img alt=&
已知
为虚数单位,复数
,则
( )
A.
B.
C.
D. 
C
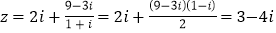
【解析】对
进行化简,得到标准形式,在根据复数模长的公式,得到
对复数
进行化简

所以
版权声明
声明:有的资源均来自网络转载,版权归原作者所有,如有侵犯到您的权益
请联系本站我们将配合处理!
已知
为虚数单位,复数
,则
( )
A.
B.
C.
D. 
C
【解析】对
进行化简,得到标准形式,在根据复数模长的公式,得到
对复数
进行化简

所以
声明:有的资源均来自网络转载,版权归原作者所有,如有侵犯到您的权益
请联系本站我们将配合处理!