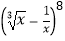
在二项式<img alt="1" src="/tk/20210512/1620751818825.png"/>的展开式中,常数项的值为______(
在二项式
的展开式中,常数项的值为______(结果用数字表示)
28
【解析】二项式
的展开式中,
通项公式为:Tr+1=
令
=0,解得r=2;
∴常数项的值为(﹣1)2•
=28.
所以答案是:28.
版权声明
声明:有的资源均来自网络转载,版权归原作者所有,如有侵犯到您的权益
请联系本站我们将配合处理!
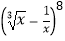
在二项式
的展开式中,常数项的值为______(结果用数字表示)
28
【解析】二项式
的展开式中,
通项公式为:Tr+1=
令
=0,解得r=2;
∴常数项的值为(﹣1)2•
=28.
所以答案是:28.
声明:有的资源均来自网络转载,版权归原作者所有,如有侵犯到您的权益
请联系本站我们将配合处理!