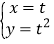
在平面直角坐标系xOy中,曲线C的参数方程是<img alt="1" src="/tk/20210511/1620712154027.png"/>(
在平面直角坐标系xOy中,曲线C的参数方程是
(
为参数).以原点O为极点,x轴正半轴为极轴建立极坐标系,直线l的极坐标方程是
.
求:(1)直线l的直角坐标方程;
(2)直线
被曲线C截得的线段长.
(1)
(2)
(1)直接利用直角坐标方程和极坐标方程之间的转换求出结果.
(2)先将曲线C化为普通方程,联立直线与曲线方程,求得交点坐标,利用两点间距离公式求得结果.
(1)直线l的极坐标方程可化为
,
即
.
又
,
所以直线l的直角坐标方程为
.
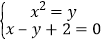
(2)曲线C:
(
为参数)的普通方程为
.
由
,得
,
所以直线l与曲线C的交点
.
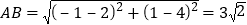
所以直线
被曲线C截得的线段长为
.
版权声明
声明:有的资源均来自网络转载,版权归原作者所有,如有侵犯到您的权益
请联系本站我们将配合处理!
下一篇 :返回列表
