在平面直角坐标系xoy中,已知点P(0,1),Q(0,2),椭圆C:(a>b>0)的离心率为 , 以坐标原点为圆心,椭圆C的短半轴长为半径的圆与直线x﹣y+2=0相切.
在平面直角坐标系xoy中,已知点P(0,1),Q(0,2),椭圆C:
(a>b>0)的离心率为
, 以坐标原点为圆心,椭圆C的短半轴长为半径的圆与直线x﹣y+2=0相切.
求椭圆C的方程;
【答案】解:∵椭圆C的短半轴长为圆心到切线的距离,
∴b=
=
,
又∵e2=
=
=
,
∴a=2
,
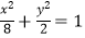
∴椭圆C的方程为:
;
利用椭圆C的短半轴长为圆心到切线的距离可知b=
, 利用e2=
=
可知a=2
, 进而可得结论.
版权声明
声明:有的资源均来自网络转载,版权归原作者所有,如有侵犯到您的权益
请联系本站我们将配合处理!
