某天,小明在上学途中沿人行道以v1=1m/s的速度向一公交车站走去;发现一辆公交车正以v2=15m/s的速度从身旁的平直公路同向驶过,此时他们距车站x=50m.为了乘上该公交车,他加速向前跑去,最大加
某天,小明在上学途中沿人行道以v1=1m/s的速度向一公交车站走去;发现一辆公交车正以v2=15m/s的速度从身旁的平直公路同向驶过,此时他们距车站x=50m.为了乘上该公交车,他加速向前跑去,最大加速度a1=2.5m/s2 , 能达到的最大速度vm=6m/s.假设公交车在行驶到距车站x0=25m处开始刹车,刚好到车站停下,停车时间t=7s,之后公交车启动向前开去,次站不再停.(不计车长)求:

(1)若公交车刹车过程视为匀减速运动,其加速度a2大小是多少?
(2)若小明加速过程视为匀加速运动,通过计算分析他能否乘上该公交车.
【答案】(1)
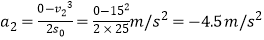
解:公交车的加速度 
所以其加速度大小为4.5m/s2.
(2)
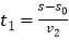
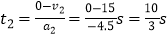
解:汽车从相遇处到开始刹车用时 

汽车刹车过程中用时 
小明以最大加速度达到最大速度用时 
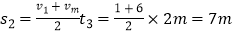
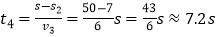
小明加速过程中的位移 
以最大速度跑到车站的时间 
t1+t2<t3+t4<t1+t2+7s,
所以:小明可以在汽车还停在车站时上车.
【解析】(1)由题意可知,汽车进站刹车做匀减速直线运动,知道了初末速度以及位移,直接根据运动学公式v2﹣v02=2as,求出加速度.(2)要判断小明能否追上公交车,就要去比较小明和公交车分别从相遇点到车站的时间.公交车从相遇点到车站先匀速再做匀减速运动,根据位移和速度可求出匀速运动的时间,再根据初末速度以及公交车减速的加速度求出匀减速运动的时间,这样就求出了公交车从相遇点到车站的总时间.小明从相遇点到车站先做匀加速到最大速度再做匀速,先根据初速度和最大速度以及加速度求出匀加速运动的时间和位移,再根据剩余的位移和速度求出匀速运动的时间,这样就求出了小明从相遇点到车站的总时间.然后比较两时间,比较时注意公交车在车站停了7s.
【考点精析】关于本题考查的匀变速直线运动的速度、位移、时间的关系,需要了解速度公式:V=V0+at;位移公式:s=v0t+1/2at2;速度位移公式:vt2-v02=2as;以上各式均为矢量式,应用时应规定正方向,然后把矢量化为代数量求解,通常选初速度方向为正方向,凡是跟正方向一致的取“+”值,跟正方向相反的取“-”值才能得出正确答案.
版权声明
声明:有的资源均来自网络转载,版权归原作者所有,如有侵犯到您的权益
请联系本站我们将配合处理!
