若函数<img alt="1" src="/tk/20210511/1620712771491.png"/>是偶函数,则该函数的定义域是______
若函数
是偶函数,则该函数的定义域是_______________.

因为函数
是偶函数,则
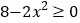
函数
的定义域
解得
故函数的定义域为
.
及答案为
.
版权声明
声明:有的资源均来自网络转载,版权归原作者所有,如有侵犯到您的权益
请联系本站我们将配合处理!
若函数
是偶函数,则该函数的定义域是_______________.

因为函数
是偶函数,则
函数
的定义域
解得
故函数的定义域为
.
及答案为
.
声明:有的资源均来自网络转载,版权归原作者所有,如有侵犯到您的权益
请联系本站我们将配合处理!